Week 5: Binary Outcomes – Linear Probability Models & Logistic Regression

Jesper Lindmarker

How difficult was last week?

Week 5: Binary Outcomes – Linear Probability Models & Logistic Regression

🔁 Week 4 Recap: Model Specification & Causal Thinking

We learned how to:

  • Think about what variables to include (and what not to include)

  • Identify confounders, mediators, and colliders

  • Use DAGs to reason about causal structure

  • Understand bias from omitted variables or bad controls

  • 🧠 Example: “Does studying more cause higher exam scores — or is something else at play?”

📍 The Course So Far

  • Week 1 – Regression basics
    One X → one continuous Y.
    Learned the core regression framework.

  • Week 2-3 – Adding complexity to X
    Multiple predictors, categorical variables, interactions.
    Still: continuous Y.

  • Week 4 – Thinking before modelling
    Deciding what to include and why using causal reasoning.
    Still: continuous Y.

  • Week 5-6 – New types of Y
    Regression logic stays the same, but now Y is categorical.
    This changes the assumptions and requires new tools.

🗺️ What We’ll Talk About Today

This week, we move from continuous outcomes to binary outcomes.

We’ll explore:

  1. Why binary is different
    👉 Why 0/1 variables break some of our OLS assumptions

  2. The Linear Probability Model (LPM)
    👉 How it works, pros and cons

  3. Logistic regression
    👉 How transforming probabilities into log-odds lets us fit a straight line

  4. Interpreting coefficients
    👉 Log-odds, odds ratios, and marginal effects

  5. Comparing LPM and logistic
    👉 When each is useful

Exercise #1 to do now!

As in Lecture 1, consider the association between hours studied and exam results for SDS-I. But instead of the exam score, consider pass/fail.

  • 📝 Task: On paper, sketch a scatterplot (NO LINE) of this association for you.
  • x-axis: potential hours you could have studied for the SDS-I exam,
  • y-axis: 0 if you think you would fail, 1 for a pass.

Exercise #2 to do now!

In the same plot, consider the probability of pass/fail.

  • x-axis: potential hours you could have studied for the SDS-I exam,
  • y-axis: the probability of you passing.

💬 Discussion

  • What shapes did we get?
  • Which shapes make sense in real life?
  • How is this different from the Week 1 exercise on exam score?

Why Talk About Binary Outcomes?

Binary outcome = only two possibilities:

  • 1 / 0
  • Yes / No
  • Pass / Fail

Why Are Binary Outcomes Important?

  • They are everywhere in social science.
  • And they force us to model probability directly — not levels, but the chance that an event happens.
  • Passed the course (yes/no)
  • Voted (yes/no)
  • Has a job (yes/no)
  • Married (yes/no)
  • Migrated this year (yes/no)
  • Trusts government (yes/no)
  • Attended protest (yes/no)
  • Paid rent late (yes/no)
  • Started a business (yes/no)

Binary Outcomes in Other Fields

  • Survived 5 years after diagnosis (yes/no)
  • Disease present (yes/no)
  • Smoker (yes/no)
  • Took treatment (yes/no)
  • Side effect occurred (yes/no)

Other domains:

  • Clicked the ad (yes/no)
  • Customer churned (yes/no)
  • Machine failed (yes/no)
  • Loan defaulted (yes/no)

Why Binary Can Be Better

  • Clear interpretation: “60% passed.”
  • Inherently discrete events: childbirth, death, default.
  • Avoids false precision: thresholds sometimes reflect reliable measurement.
  • Policy relevance: many decisions operate on cutoffs.

Key point:
Today we’ll learn to model the probability that the event happens.
This is the backbone of logistic regression and most modern classification models.

🔁 From OLS to the Linear Probability Model

  • We already know OLS can model a numeric outcome with a straight line.
  • Linear Probability Model: treat 0/1 as numbers and run the same regression.
  • \(Y_i \in \{0,1\},\quad Y_i=\beta_0+\beta_1X_{i1}+\cdots+\beta_kX_{ik}+\varepsilon_i\)

🔁 From OLS to the Linear Probability Model

  • We already know OLS can model a numeric outcome with a straight line.
  • Idea: treat 0/1 as numbers and run the same regression.
  • \(Y_i \in \{0,1\},\quad Y_i=\beta_0+\beta_1X_{i1}+\cdots+\beta_kX_{ik}+\varepsilon_i\)

🔁 From OLS to the Linear Probability Model

lpm_model <- lm(pass ~ hours_studied, data = p_data, na.action = na.exclude)
summary(lpm_model)

Call:
lm(formula = pass ~ hours_studied, data = p_data, na.action = na.exclude)

Residuals:
     Min       1Q   Median       3Q      Max 
-0.76611 -0.23291 -0.05967  0.23460  0.79896 

Coefficients:
               Estimate Std. Error t value Pr(>|t|)    
(Intercept)   0.0254387  0.0281464   0.904    0.367    
hours_studied 0.0253011  0.0009859  25.664   <2e-16 ***
---
Signif. codes:  0 '***' 0.001 '**' 0.01 '*' 0.05 '.' 0.1 ' ' 1

Residual standard error: 0.3132 on 498 degrees of freedom
Multiple R-squared:  0.5694,    Adjusted R-squared:  0.5686 
F-statistic: 658.6 on 1 and 498 DF,  p-value: < 2.2e-16

How to interpret…

  • Intercept?
  • Coefficient?

🔁 From OLS to the Linear Probability Model

Like always, we can inspect the predictions from our model for each observation.

p_data$pred_lpm <- predict(lpm_model, newdata = p_data)
head(select(p_data, hours_studied, pass, pred_lpm), n = 15)
# A tibble: 15 × 3
   hours_studied  pass pred_lpm
           <dbl> <int>    <dbl>
 1         14.4      0   0.389 
 2         39.4      1   1.02  
 3         20.4      1   0.543 
 4         44.2      1   1.14  
 5         47.0      1   1.22  
 6          2.28     0   0.0831
 7         26.4      1   0.694 
 8         44.6      1   1.15  
 9         27.6      1   0.723 
10         22.8      1   0.603 
11         47.8      1   1.24  
12         22.7      1   0.599 
13         33.9      1   0.883 
14         28.6      1   0.750 
15          5.15     0   0.156 

🔁 From OLS to the Linear Probability Model

Why this might seem fine:

  • It’s simple and uses tools we already know.
  • The slope can be interpreted as the change in probability with X.
  • In many cases, it works well enough for approximate answers.
  • But: the model is not a “true” probability model

Why Not Just Do Linear Probability Models?

💡 First, unreasonable probabilites
“What does a probability of 1.25 even mean? How could nature give you more than 100% chance?”

Second, incorrect funcional form

A more sensible shape for probabilities

  • What would you say about the marginal effect if we use a S-curve?
    • The change in \(p\) depends on where you are on the S-curve.

How do we model such a shape?

  • If we think the true relationship between \(X\) and the probability of \(Y=1\) has this S-shape, then we need a mathematical model that can produce that shape.
  • The plan is to find a way to transform the problem into something we already know how to do: Draw a straight line.

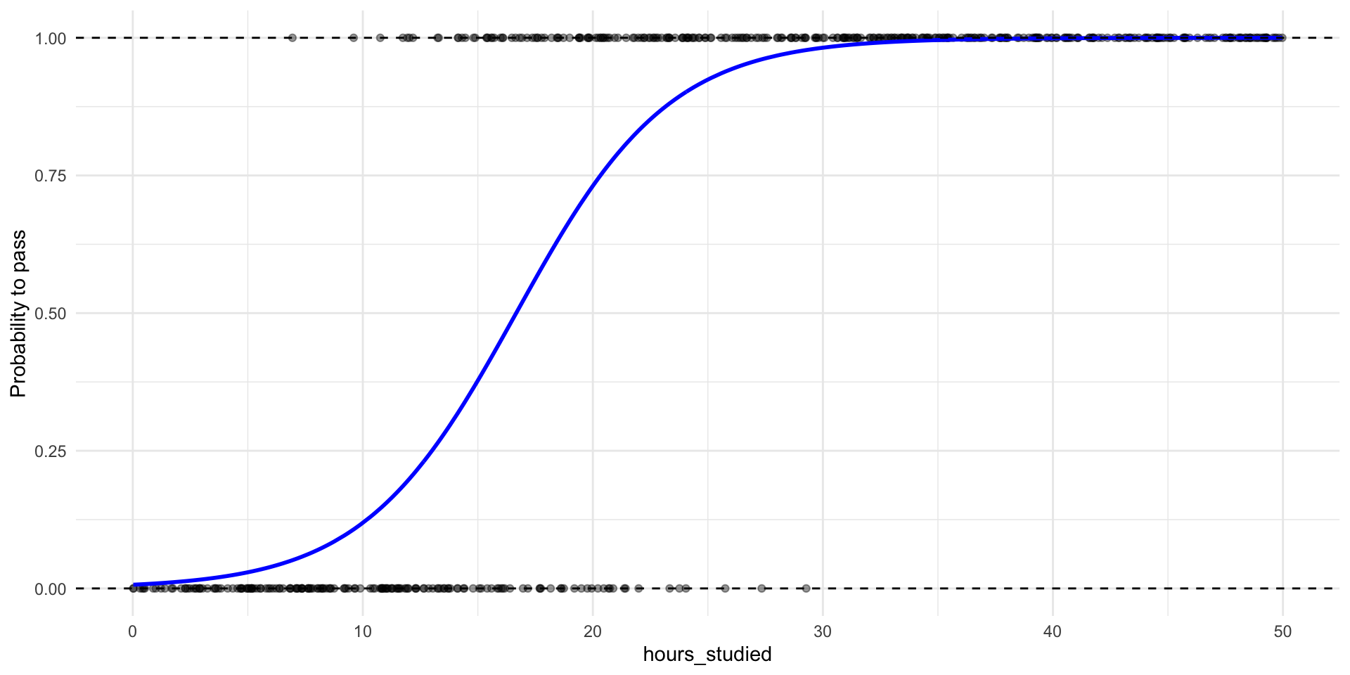
To demonstrate, we will model in reverse

Suppose this S-curve are the true probabilities

head(select(p_data, hours_studied, p_true))
# A tibble: 6 × 2
  hours_studied p_true
          <dbl>  <dbl>
1         14.4  0.335 
2         39.4  0.999 
3         20.4  0.757 
4         44.2  1.000 
5         47.0  1.000 
6          2.28 0.0132

Step 1: Transform probabilities into odds

\[ \text{odds}=\frac{p}{1-p} \]

p_data <- p_data %>% mutate(odds = p_true/(1-p_true))
head(select(p_data, hours_studied, p_true, odds))
# A tibble: 6 × 3
  hours_studied p_true      odds
          <dbl>  <dbl>     <dbl>
1         14.4  0.335     0.503 
2         39.4  0.999   920.    
3         20.4  0.757     3.11  
4         44.2  1.000  3810.    
5         47.0  1.000  9018.    
6          2.28 0.0132    0.0133

Step 1: Transform probabilities into odds

  • The S-curve in probability space becomes an exponential curve in odds space.
  • Easier to work with than raw probabilities (no [0,1] boundary)

Step 2: Transform odds into log-odds (the logit)

\[ \log(\text{odds})=\log\!\left(\frac{p}{1-p}\right)=\text{logit}(p) \]

p_data <- p_data %>%
  mutate(
    log_odds = log(odds)   # = logit(p_true)
  )

head(select(p_data, hours_studied, p_true, odds, log_odds))
# A tibble: 6 × 4
  hours_studied p_true      odds log_odds
          <dbl>  <dbl>     <dbl>    <dbl>
1         14.4  0.335     0.503    -0.686
2         39.4  0.999   920.        6.82 
3         20.4  0.757     3.11      1.13 
4         44.2  1.000  3810.        8.25 
5         47.0  1.000  9018.        9.11 
6          2.28 0.0132    0.0133   -4.32 

Step 2: Transform odds into log-odds (the logit)

Let’s plot the log-odds against hours studied aaaaaaand….

Transforming probabilities into something we can model

Summary

  • When the probability of (Y=1) follows an S-curve, the log-odds of (Y=1) follow a straight line
  • And a straight line we know how to model!

Logistic regression model

  • Great news! The log-odds can be modelled just like we are used to! \[\log(\text{odds}) = \beta_0 + \beta_1 X_1 + \beta_2 X_2 ... \]

  • Note: Log-odds can also be written \[\log(\text{odds}) = \log\left(\frac{p}{1-p}\right) = \text{logit}(p)\]

Let’s run a logistic regression

# New R function glm(): Generalized linear model
# For logistic regression we have to specify `family = binomial`
# (`family = gaussian` gives OLS)
m1 <- glm(pass ~ hours_studied, family = "binomial", data = p_data)

Call:
glm(formula = pass ~ hours_studied, family = "binomial", data = p_data)

Coefficients:
              Estimate Std. Error z value Pr(>|z|)    
(Intercept)   -5.21420    0.54485   -9.57   <2e-16 ***
hours_studied  0.30802    0.03073   10.02   <2e-16 ***
---
Signif. codes:  0 '***' 0.001 '**' 0.01 '*' 0.05 '.' 0.1 ' ' 1

(Dispersion parameter for binomial family taken to be 1)

    Null deviance: 646.20  on 499  degrees of freedom
Residual deviance: 228.92  on 498  degrees of freedom
AIC: 232.92

Number of Fisher Scoring iterations: 7

Interpretation of log-odds coefficients

\[ \widehat{\log\left(\frac{p}{1-p}\right)} = -5.21 + 0.308 \cdot \text{hours_studied} \]

  • Intercept:
    When hours_studied = 0, the estimated log-odds of passing are \(-5.21\).

  • Coefficient:
    Each additional hour studied is associated with an increase of \(0.308\) in the log-odds of passing the exam, holding other variables constant.

    • It’s our friend the marginal effect! But in log-odds space.

    • Log-odds are not intuitive — what does “\(+ 0.3\) log-odds” mean?

    • Direction and uncertainty can still be interpreted.

💡 Towards better interpretation: Log-odds → Odds Ratios

💡 Towards better interpretation: Log-odds → Odds Ratios

💡 Towards better interpretation: Log-odds → Odds Ratios

\[ \log(\text{odds}) = \beta_0 + \beta_1 X \]

  • Here, \(\beta_1\) is the additive effect on log-odds.

To get to odds, we exponentiate:
\[ \text{exp}(\log(\text{odds})) = \text{odds} = \text{exp}(\beta_0 + \beta_1 X) = e^{\beta_0 + \beta_1 X} \]

  • This gives us the multiplicative effect

The Odds Ratio

\[ \frac{\text{odds}_{\text{new}}}{\text{odds}_{\text{old}}} = e^{\beta_1} \]

  • The exponentiated coefficient (\(e^{\beta_1}\)) is the odds ratio.
  • Interpretation: Every 1-unit increase in \(X_1\) multiplies the odds by \(e^{\beta_1}\) holding all else constant.
  • Once again it’s a marginal effect, but now in odds space

Odds ratios for our model

tidy(m1, exponentiate = TRUE, conf.int = TRUE)
# A tibble: 2 × 7
  term          estimate std.error statistic  p.value conf.low conf.high
  <chr>            <dbl>     <dbl>     <dbl>    <dbl>    <dbl>     <dbl>
1 (Intercept)    0.00544    0.545      -9.57 1.07e-21  0.00171    0.0146
2 hours_studied  1.36       0.0307     10.0  1.20e-23  1.29       1.45  
  • Intercept:
    When hours_studied = 0, the estimated odds of passing are
    \(e^{\beta_0} = 0.005\).

  • Exponentiated coefficient:
    Each additional hour studied multiplies the odds of passing by \(e^{\beta_1} = 1.36\) (i.e., about 36% increase in the odds per hour studied).

  • Important! Null-hypothesis is \(e^{\beta_1} = 1\)

    • \(x \times 1 = x\)

💡 Towards better interpretation: Probability marginal effects

Towards better interpretation: Probability marginal effects

  • The change in \(p\) depends on where you are on the S-curve.
    • A bit like with non-linear relationships

Probabilities and Marginal Effects

  • The change in probability depends on where you are on the S-curve.
    • Largest at \(p = 0.5\) (middle of curve)
    • Smaller as \(p \to 0\) or \(p \to 1\)

Probabilities and Marginal Effects

  • At 22h studied, the change in probability of passing the exam for a one-unit increase in hours studied is \(5\) percentage points, holding other variables constant.

Marginal effects and Multiple Predictors

\[\text{logit}(p) = \beta_0 + \beta_1 X_1 + \beta_2 X_2 + \dots + \beta_k X_k\]

  • With multiple predictors enters a tricky problem…

  • Every predictor shifts the linear predictor → moves \(p\) to a different point on the S-curve.

  • Meaning, the level of every variable influences the marginal effect of any one variable.

🧠 Interpretation Challenge

For any predictor \(X_j\):

  • There is no universal “effect on probability.”
  • Individuals with different covariate profiles sit on different parts of the S-curve.
  • This variation is inherent to nonlinear models.

🧪 Hypothetical Cases

Like we’ve done before, consider a few concrete individuals:

  1. Female, natural science, slept well, 20h study
  2. Male, humanities, slept poorly, 10h study
  • Each hypothetical person will have a different effect of 1 additional hour of study, because their covariate values place them at different predicted probabilities.

🧮 Average Marginal Effects (AME)

If we can compute marginal effects for specific cases, we can compute them for every case in our sample.

  • AME does exactly this:
  1. Compute the marginal effect of \(X_j\) for each observation \(i\).
  2. Take the average.

Interpretation:

The AME tells us, on the probability scale, how much the outcome probability typically changes in this sample when X_j increases by one unit, taking into account that marginal effects differ across individuals.

📊 Why AMEs Work So Well

  • They operate on the probability scale → no log-odds translation.

  • They summarize heterogeneity across individuals.

  • They allow coefficient-style comparisons between variables.

  • They directly answer:
    > “How much does this variable usually shift the predicted probability?”

  • AMEs give the most interpretable effect size in logistic regression.

🎯Model fit in logistic regression

🎯 Model Fit in Logistic Regression

  • Binary outcome → no continuous residuals
  • Two main angles:
    1. Accuracy: How well predicted probabilities match outcomes
      • Classification: how often 0/1 is predicted correctly
      • Calibration: how predicted probabilities line up with actual proportions
    2. Log likelihood measures: improvement over a null model
      • Pseudo-\(R^2\) (High values means better fit, but not the same as \(R^2\)!)
      • AIC and BIC (Low values better)

🧭 What to Look For

  1. Reasonable probabilities
    • Any impossible or clearly implausible predictions?
  2. Useful classification
    • Does a chosen cutoff make sense for your question?
  3. Good calibration
    • Do predicted probabilities ≈ observed frequencies?
  4. Better than the null model
    • Pseudo-R²: “How much better than predicting everyone the same?”

🔖 Summary

🤯 Stepping Back

  • Look at the path we’ve taken today:
    • Linear regression → breaks down for 0/1
    • Linear Probability Model → simple but “illegal” probabilities
    • Logistic regression → log-odds, odds ratios, pseudo-\(R^2\), calibration, interpretation difficulties in multiple X’s
  • All this mathematical machinery just to model a probability!

🚧 And the Challenges Don’t End Here

  • We haven’t even talked about:
    • Comparing coefficients across models
    • Nonlinear scaling of effects
    • Interactions in logistic regression 😵‍💫
  • Logistic regression solves some problems…
  • …but brings a new set of its own.

🤔 So Why Not Stick With the LPM?

  • LPM is:
    • Easy to estimate
    • Easy to interpret
    • Uses familiar OLS machinery
  • And in many applied contexts, it works “well enough.”
  • Some argue it’s often the more honest choice (Mood 2010)

🌟 Closing Thought

  • Modelling binary outcomes is not trivial.
  • Every approach involves trade-offs.
  • The art is not to choose the “perfect model”…
    …but to know which problems you prefer to live with.

See you at the lab!